Problem of the Week 1052

This Will Floor You

True or False: There exists an integer c such that, for all positive integers n,

Floor [Sqrt[n] + Sqrt[n + 1]  = Floor [Sqrt[4n + c]] ?

Here |_._| refers to the greatest integer or floor function: the largest integer less than or equal to the quantity.

Extra credit (they get progressively harder, and the last one is in fact an open question):

Same question with

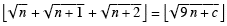
Floor [Sqrt[n] + Sqrt[n + 1] + Sqrt[n + 2]] = Floor [Sqrt[9n + c]] ?

Floor [Sqrt[n] + Sqrt[n + 1] + Sqrt[n + 2] + Sqrt[n + 3]] = Floor [Sqrt[16n + c]] ?

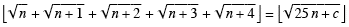
Floor [Sqrt[n] + Sqrt[n + 1] + Sqrt[n + 2] + Sqrt[n + 3] + Sqrt[n + 4]] = Floor [Sqrt[25n + c]] ?

Floor [Sqrt[n] + Sqrt[n + 1] + Sqrt[n + 2] + Sqrt[n + 3] + Sqrt[n + 4] + Sqrt[n + 5]] = [Sqrt[36n + c]] ?

Floor [Sqrt[n] + Sqrt[n + 1] + Sqrt[n + 2] + Sqrt[n + 3] + Sqrt[n + 4] + Sqrt[n + 5]] + Sqrt[n + 6]] = [Sqrt[49n + c]] ?

Source: Xingzhi Zhan, The Mathematical Intelligencer, Fall 2005, pp. 4-5.

© Copyright 2006 Stan Wagon. Reproduced with permission.



14 February 2006